主な活動場所
毎週木曜日 綾川町総合運動公園テニス場
19:00~21:00
毎週土曜日 綾川町総合運動公園テニス場
13:00~15:00
(6~9月 15:00~17:00)
スケジュール(イベントカレンダー)で確認して下さい。
毎週木曜日 綾川町総合運動公園テニス場
19:00~21:00
毎週土曜日 綾川町総合運動公園テニス場
13:00~15:00
(6~9月 15:00~17:00)
スケジュール(イベントカレンダー)で確認して下さい。
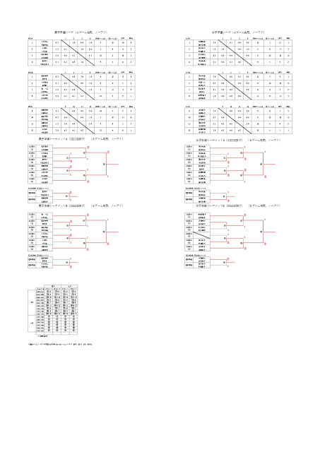
第16回綾川町民テニス大会
-
Screenshot_20251111_223430_LINE.jpg -
Screenshot_20251111_222810_LINE.jpg -
Screenshot_20251111_222823_LINE.jpg -
Screenshot_20251111_222832_LINE.jpg -
Screenshot_20251111_222840_LINE.jpg -
Screenshot_20251111_222943_LINE.jpg -
Screenshot_20251111_222952_LINE.jpg -
Screenshot_20251111_223001_LINE.jpg -
Screenshot_20251111_223009_LINE.jpg -
Screenshot_20251111_223017_LINE.jpg -
Screenshot_20251111_223025_LINE.jpg -
第16回綾川町民テニス大会.jpg